[내신 기출]광양고등학교 2022년 고1 1학기 기말고사 족보 - 수학대왕
기출 문제
광양고등학교

[내신 기출]광양고등학교 2022년 고1 1학기 기말고사 족보 - 수학대왕

✏️ Editor's Note

안녕하세요 수학대왕 제임스쌤입니다. 광양고등학교 1학기 중간고사 족보, 기출 문제를 무료로 확인해보세요! 1학기 2학기 중간고사 내신 내신기출

광양고등학교

2022년 고1 1학기 기말고사

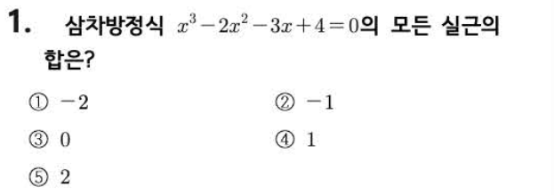
문제1번
문제2번
문제3번
문제4번
문제5번
문제6번
문제7번
문제8번
문제9번
남은 광양고등학교 기출문제는 수학대왕에서 무료로 모두 확인실 수 있어요! 뿐만 아니라 광양고등학교의 3개년 기출 문제를 볼 수 있어요.

광양고등학교

근처학교 내신 족보

수학대왕의 내신기출 기능에서는 우리 학교 기출문제 뿐만 아니라 우리 학교에서 가까운 주변 학교의 기출문제 족보도 확인할 수 있어요!

수학대왕 서비스 근처 학교 화면

광양고등학교

전국 학교 내신 족보 검색

다른 학교의 시험 난이도가 궁금하다면? 전국에 있는 학교의 내신 기출문제를 모두 볼 수 있어요!

수학대왕 서비스 학교 기출 검색 화면

1등 AI 관리형 자기주도 학습, 수학대왕

전국 학교 족보열람부터 인공지능이 분석하고 추천해주는 오늘의 문제, 선택 문제, EBS 연계 문제 등 모든 수학 공부를 한번에! 수학대왕하세요

수학대왕 서비스 메인 화면

내신기출의 중요성 명문대생 인터뷰

수학대왕으로 1등급을 달성한 학생들 인터뷰 영상

막막한 수학 공부, 수학대왕으로 수학 1등급을 달성한 학생들의 인터뷰를 보고
수학 공부 방법에 대한 조언을 얻어가세요

내신기출 문제의 중요성이 날로 커지고 있어요. 중요성에 대한 인터뷰예요.

자투리 시간은 수학대왕!
개념집과 OX 문제로 개념을 완벽하게 정복할 수 있어요

개념집으로 놓치는 개념 없이 완벽하게 공부하세요

수학대왕에선 개념집으로개념을 완벽하게 학습할 수 있어요.

수학대왕 서비스 개념집 화면

OX문제로 헷갈리는 개념을 점검해 보세요

OX문제로 많은 학생들이 헷갈려 하는 개념을 점검할 수 있어요

수학대왕 서비스 OX문제 화면
"수학 과목은 시험 4주 전부터 매일 여러 학교의 내신 기출 문제를 1세트씩 풀었습니다."

손목시계를 시험 시간에 맞추어서 50분 안에 문제를 풀고, 오엠알(OMR) 체킹하는 것까지 연습했습니다. 몇 시까지 몇 번 문제를 풀 것인지, 막히는 문제는 몇분간 고민하고 넘어갈지 등을 미리 정해보고 문제를 풀며 시간을 체크했습니다. 제가 문제를 풀다가 막히는 이유 중 하나가, 문제에 주어진 단서를 놓치는 데에 있음을 알았습니다. 또 순서없이 시험지에 풀이과정을 마구 적다보니 스스로의 풀이과정을 알아볼 수 없었습니다. 그래서 문제에 주어진 단서를 1,2,3.. 번호를 붙여 먼저 정리해보고, 각 단서에 대해 어떻게 반응할지를 정해보았습니다. 예를 들어 3차 함수식이 나오면 ‘나는 이 함수의 도함수까지 구해서 그려보자’ 또는 절댓값 기호가 있는 함수식이 나오면 ‘ 나는 범위에 따라 함수를 정리해보자’ 등 저만의 반응을 정했습니다. 이렇게 정리하다보면 자연스레 풀이 공간도 깔끔하게 사용할 수 있었습니다. 수학 문제를 풀다가 막혔을 때 막힌 지점을 정확히 짚는 연습도 했습니다. 막혔을 때 가만히 멍때리는 시간을 줄이기 위한 방안이었습니다.-서울대 경제학부 이은재 학생(동패고졸)

(출처: 2022학년도 일산 파주 지역 대입 수시 합격생이 전하는 ‘내신 대비 공부법’ - 내일신문)
"3년 연속 내신 1.0.. “나와의 싸움 누구보다 힘들었다"

내신 성적을 3년동안 1.0 유지하는 것이 쉬운 일은 아니었습니다. 저만의 노하우를 공유하자면 저는 빈칸 노트를 만들어 개념 공부를 꼼꼼하게 했습니다. 최대한 많은 양의 문제를 풀고 내가 볼 문제를 줄여 나가는 방식으로 공부해 실수를 최대한으로 줄이는 것을 목표로 두고 시험을 준비했습니다. (중략) 수학은 덕이고뿐만 아니라 고양시 모든 학교까지 섭렵해 문제를 풀었습니다.  1학년 입학을 하면서 서울대 지균을 목표로 내신 관리를 했습니다.

(출처: [2019 일산 파주지역 수시합격자 릴레이 인터뷰/순천향대학교 의예과 이지민 학생 (덕이고 졸업)]
수업엔 충실하게, 과목별 공부전략 세워.”

부교재는 필수로 풀어줍니다. 저는 주로 내신 기간에 ‘쎈’교재는 꼭 풀었고 2주 전부터 학교 기출을 풀면서 시간 감각을 익혔습니다. 특히 2학년부터는 수능 간접출제 범위이므로 수능기출 문제도 곁들여서 준비해야 고득점을 할 수 있습니다. -서울대 화학부 여현구 학생(정발고 졸)

(출처: 2022학년도 일산 파주 지역 대입 수시 합격생이 전하는 ‘내신 대비 공부법’ - 내일신문)
"공부는 정말 자기와의 싸움입니다."

3학년 1학기에 가장 좋은 내신을 받을 수 있도록 최대한 노력하시고 의미있는 교내활동 한 가지 정도는 꼭 하셨으면 좋겠습니다. 공부는 정말 자기와의 싸움입니다. 저도 공부하기 싫을 때가 많았습니다. 하지만 며칠 놀고 나면 불안감 때문에 더 힘든 시간을 갖게되더라구요. 그래서 아무리 힘들어도 공부를 않더라도 일단 책상에 앉아 시간을 보내려고 했습니다. 2학년과 3학년 모두 너무 힘든 시간이었습니다. 열심히 하지 않은 것에 대한 후회는 있어도 열심히 한 것에 대한 후회는 없습니다. 내일 당장 시험장에 들어가도 좋다는 마음으로 최선을 다하시길 바랍니다.

(출처: [2019 일산 파주지역 수시합격자 릴레이 인터뷰/순천향대학교 의예과 이지민 학생 (덕이고 졸업)]

수학대왕 내신 기출 기능으로 공부하면 좋은 점

수학대왕의 내신 기출 문제로 공부하면 좋은 장점들을 정리했어요.

본인 학교의 출제 경향을 파악할 수 있어요 : 내신 기출 문제를 풀어보면서 학교의 출제 경향을 파악하면 효율적인 학습 계획을 세울 수 있어요. 어떤 문제가 많이 나오는지 기출 문제로 출제의 방향을 예측할 수 있어요.

본인 학교의 문제 유형을 파악할 수 있어요 : 최근 3개년 기출 문제를 풀어보면서 문제의 유형을 파악할 수 있어요. 어떤 유형의 문제가 빈출되는지 파악해서 시험에 완벽하게 대비할 수 있어요.

본인 학교의 문제를 풀어볼 수 있어요 : 최근 3개년 수학 문제를 모두 풀 수 있기 때문에 실제 시험에 대비해서 시간을 측정해보고 약한 유형을 찾고 시험에 대비할 수 있어요

내신 기출 문제 학습 효과

에디터 한마디

✏️ Editor's Last Note

내신 기출 문제 분석은 고등학교 수학시험 대비에 필수적인 과정입니다. 수학대왕에서 제공하는 1학기 기말고사 내신 기출 문제를 분석하여 실력을 향상시키고 좋은 성적을 거두시기 바래요!

안녕하세요 수학대왕 제임스쌤입니다. 광양고등학교 1학기 중간고사 족보, 기출 문제를 무료로 확인해보세요! 1학기 2학기 중간고사 내신 내신기출
수학대왕

지금 바로 수학대왕을 사용해보세요

No 1. 관리형 AI 자기주도학습 서비스