[내신 기출]신림고등학교 2021년 고1 2학기 중간고사 무료 1-2 족보 - 수학대왕
신림고등학교 2학기 중간 내신 기출 족보 PDF 문제 해설 정답 출제 예상 문제에 대해서 알려드릴게요.
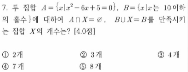
신림고등학교 2학기 중간 내신 기출 족보 PDF 문제 해설 정답 출제 예상 문제에 대해서 알려드릴게요.
2학기 중간고사 기출 문제를 준비했어요 아래 기출 문제를 꼼꼼히 풀고 곧 다가오는 중간고사에서 좋은 성적을 얻어보세요!
위의 신림고등학교 기출 문제학습을 모두 마셨나요? 그럼 남은 기간 동안 내신 공부법에 대해서 알려드릴게요.수학 내신 대비에 있어 기출 문제 만큼 중요한 점이 공부 방법이에요. 먼저 1) 시험을 준비할 수 있는 기간을 확보해야 해요. 2) 문제 풀이보다 헷갈리는 개념이 없어야 해요. 3) 서신림고등학교 술형 문제에 대비를 철저하 준비해야 해요. 4) 신림고등학교 수업 시간에 짚어주신 내용을 완벽하게 준비해야 해요.
신림고 일정 및 정보에 대해서 알아볼게요. 신림고은 서울 지역에 있는 학교에요. 신림고2학기 중간고사 일정은 9월 말에서 10월 초까지 진행될 예정이에요.
우리학교 기출문제 만으로 부족하다면? 본인 학교의 근처 학교 기출문제 족보도 확인할 수 있어요!
.webp)
비슷한 수준의 근처 학교들의 기출 문제를 풀고 더 다양한 유형에 대비한다면 시험에서 좋은 결과를 얻을 수 있을 거예요.
수학대왕에서는 전국에 있는 학교의 내신 기출문제를 모두 볼 수 있어요!
.webp)
평소 관심 있던 학교가 있었나요? 그렇다면 전국 학교 내신 검색 기능을 통해서 관심 학교의 기출 문제를 확인할 수 있어요.
내신기출 문제 공부 후 AI가 분석한 실력을 바탕으로 추천해주는 오늘의 문제까지 한번에 학습할 수 있는 수학대왕으로 빠르게 실력을 올려보세요!
.webp)
내신 기출 문제로 기출 문제에 대한 공부를 완료했다면 이제 본인의 실력에 딱 맞는 문제를 풀면서 성적을 올려보세요.
수학대왕과 함께라면 수학 백분위 100 달성할 수 있어요!
분위 100을 달성한 학생의 리얼 후기를 통해서 성적을 올려보세요.
학습량, 실력, 학교별 랭킹으로 경쟁하며 공부하면 훨씬 재미있게 공부할 수 있어요

수학대왕의 퀘스트는 매일 공부할 수밖에 없게 만들어줘요

공부하며 받은 포인트로 수학대왕 뽑기왕에 응모하면 선물을 받을 수 있어요

수학대왕 챌린지로 공부하고 목표를 달성하면 상품에 응모할 수 있어요

내신기출 문제의 중요성이 날로 커지고 있어요. 중요성에 대한 기사를 준비했어요.
중학교 때처럼 문제집을 많이 푼다고 해서, 암기 위주의 개념학습을 한다고 해서, 안정적인 수학 고득점은 얻기 어렵다. 위와 같은 공부법으로 내신에서 고득점을 받고 있다면 더욱 위험하다. 수능 당일 무너질 확률이 높기 때문이다. 단순하게 문제를 많이 푸는 것보다, 암기식 개념학습 보다, 이해하고 풀이하며 실수하기 쉬운 문제는 무한 반복해야 한다.
서술형 대비 정확하게 : 기호나 단위를 쓰지 않아서, 서술을 너무 자세히 하느라 시간이 부족해서. 반대로 너무 간략하게 해서 점수를 놓치는 경우가 생각보다 많다. 이를 방지하기 위해선 별도의 서술형 답안 작성 연습이 필요하다.
마무리는 반드시 교과서로 : 개념을 익히고 유형별로 정리한 다음에 마무리는 반드시 교과서와 학교 프린트로 다시 해준다. 개념의 이해도가 높아진 다음 교과서를 다시 보면 이해도의 깊이가 달라지며, 교과서의 창의 유형, 발전 유형 등 세세한 부분까지 놓치지 말고 확인한다.
수학은 단계적 학문이다. 그렇기 때문에 탄탄한 기초 개념을 바탕으로 수학 사고력의 확장성을 가지지 못하면 다음 단계로 넘어가기에 무리가 따른다. 하지만 '남들보다 빠르게, 남들보다 많이'라는 경쟁 기질이 한국 사회에 만연한 데다 '내 아이는 현행도 잘하고, 선행도 더 많이 해야 한다'는 학부모의 생각이 아이들을 벼랑 끝으로 내몰고 있다. 물론 학부모의 열띤 마음에 부응해 좋은 성적을 거두는 학생도 일부 있겠지만, 보통의 학생들은 이러한 과정에서 '수학의 길'을 잃어버린다. 개념을 체화하지 않고 기초가 탄탄하지 못한 부분에 대한 냉정한 분석 및 보완이 없는 수학은 아무 의미가 없다. 또한 주변의 과도한 선행 분위기에 휩쓸려 따라가는 공부를 하다 보면 '나'에 대한 관찰과 판단을 정확히 할 수 없게 된다.
3학년 1학기에 가장 좋은 내신을 받을 수 있도록 최대한 노력하시고 의미있는 교내활동 한 가지 정도는 꼭 하셨으면 좋겠습니다. 공부는 정말 자기와의 싸움입니다. 저도 공부하기 싫을 때가 많았습니다. 하지만 며칠 놀고 나면 불안감 때문에 더 힘든 시간을 갖게되더라구요. 그래서 아무리 힘들어도 공부를 않더라도 일단 책상에 앉아 시간을 보내려고 했습니다. 2학년과 3학년 모두 너무 힘든 시간이었습니다. 열심히 하지 않은 것에 대한 후회는 있어도 열심히 한 것에 대한 후회는 없습니다. 내일 당장 시험장에 들어가도 좋다는 마음으로 최선을 다하시길 바랍니다.
내신 기출 문제 분석은 고등학교 수학시험 대비에 필수적인 과정입니다. 내신 기출 문제를 분석하여 실력을 향상시키고 좋은 성적을 거두시기 바래요.
.webp)


