[내신 기출]신성여자고등학교 신성여고 2022년 고1 1학기 중간고사 족보 - 수학대왕
안녕하세요 수학대왕 제임스쌤입니다. 신성여자고등학교 1학기 기말고사 족보, 기출문제를 무료로 확인해보세요! 1학기 2학기 중간고사 내신 내신기출
안녕하세요 수학대왕 제임스쌤입니다. 신성여자고등학교 1학기 기말고사 족보, 기출문제를 무료로 확인해보세요! 1학기 2학기 중간고사 내신 내신기출
우리학교 기출문제 뿐만 아니라 근처학교의 기출문제 족보도 확인할 수 있어요!
.webp)
우리학교의 내신 기출로 부족하다면? 근처 학교의 내신 기출 문제가 궁금하다면? 수학대왕에서 바로 확인할 수 있어요. 근처 학교의 최근 3개년 기출 문제를 보고 해당 지역의 기출 문제를 모두 섭렵해 보세요 :)
수학대왕의 내신 기출과 관련된 강력한 기능을 소개드릴게요. 수학대왕에서는 전국에 있는 학교의 내신 기출문제를 모두 볼 수 있어요!
.webp)
내신 기출 문제를 지역별로 모아서 볼 수 있고, 학교명을 검색해서 원하시는 학교의 기출 문제를 찾을 수 있으니 궁금한 학교의 기출 문제가 있다면 내신 기출 검색 기능을 활용해보세요.
전국 학교 족보열람부터 인공지능이 분석하고 추천해주는 AI 추천 문제까지 한번에, 수학대왕하세요!
.webp)
수학대왕으로 공부해 서울대학교에 합격한 학생의 인터뷰 영상을 준비했어요.
수학대왕이 목표하는 바를 이룰 수 있도록 도와드릴게요!
수학대왕에선 AI가 정확히 파악한 실력을 바탕으로 나에게 꼭 필요한 문제만 학습할 수 있어요

수학대왕으로 학습하면 원하는 문제만 골라서 학습할 수 있어요

수학대왕의 문제집으로 특정 단원만 묶어서 깊게 학습할 수 있어요

수학대왕 복습 기능으로 내가 학습한 모든 문제를 모아 볼 수 있고, 복습할 수 있어요

내신기출 문제의 중요성이 날로 커지고 있어요. 중요성에 대한 인터뷰예요.
손목시계를 시험 시간에 맞추어서 50분 안에 문제를 풀고, 오엠알(OMR) 체킹하는 것까지 연습했습니다. 몇 시까지 몇 번 문제를 풀 것인지, 막히는 문제는 몇분간 고민하고 넘어갈지 등을 미리 정해보고 문제를 풀며 시간을 체크했습니다. 제가 문제를 풀다가 막히는 이유 중 하나가, 문제에 주어진 단서를 놓치는 데에 있음을 알았습니다. 또 순서없이 시험지에 풀이과정을 마구 적다보니 스스로의 풀이과정을 알아볼 수 없었습니다. 그래서 문제에 주어진 단서를 1,2,3.. 번호를 붙여 먼저 정리해보고, 각 단서에 대해 어떻게 반응할지를 정해보았습니다. 예를 들어 3차 함수식이 나오면 ‘나는 이 함수의 도함수까지 구해서 그려보자’ 또는 절댓값 기호가 있는 함수식이 나오면 ‘ 나는 범위에 따라 함수를 정리해보자’ 등 저만의 반응을 정했습니다. 이렇게 정리하다보면 자연스레 풀이 공간도 깔끔하게 사용할 수 있었습니다. 수학 문제를 풀다가 막혔을 때 막힌 지점을 정확히 짚는 연습도 했습니다. 막혔을 때 가만히 멍때리는 시간을 줄이기 위한 방안이었습니다.-서울대 경제학부 이은재 학생(동패고졸)
내신 성적을 3년동안 1.0 유지하는 것이 쉬운 일은 아니었습니다. 저만의 노하우를 공유하자면 저는 빈칸 노트를 만들어 개념 공부를 꼼꼼하게 했습니다. 최대한 많은 양의 문제를 풀고 내가 볼 문제를 줄여 나가는 방식으로 공부해 실수를 최대한으로 줄이는 것을 목표로 두고 시험을 준비했습니다. (중략) 수학은 덕이고뿐만 아니라 고양시 모든 학교까지 섭렵해 문제를 풀었습니다. 1학년 입학을 하면서 서울대 지균을 목표로 내신 관리를 했습니다.
부교재는 필수로 풀어줍니다. 저는 주로 내신 기간에 ‘쎈’교재는 꼭 풀었고 2주 전부터 학교 기출을 풀면서 시간 감각을 익혔습니다. 특히 2학년부터는 수능 간접출제 범위이므로 수능기출 문제도 곁들여서 준비해야 고득점을 할 수 있습니다. -서울대 화학부 여현구 학생(정발고 졸)
3학년 1학기에 가장 좋은 내신을 받을 수 있도록 최대한 노력하시고 의미있는 교내활동 한 가지 정도는 꼭 하셨으면 좋겠습니다. 공부는 정말 자기와의 싸움입니다. 저도 공부하기 싫을 때가 많았습니다. 하지만 며칠 놀고 나면 불안감 때문에 더 힘든 시간을 갖게되더라구요. 그래서 아무리 힘들어도 공부를 않더라도 일단 책상에 앉아 시간을 보내려고 했습니다. 2학년과 3학년 모두 너무 힘든 시간이었습니다. 열심히 하지 않은 것에 대한 후회는 있어도 열심히 한 것에 대한 후회는 없습니다. 내일 당장 시험장에 들어가도 좋다는 마음으로 최선을 다하시길 바랍니다.
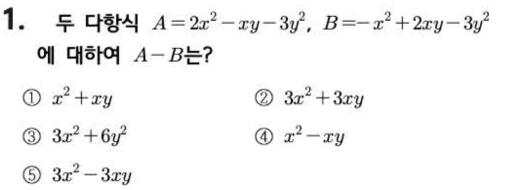
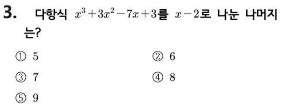
내신 기출 문제 분석은 수학 시험 대비에 필수적인 과정이에요. 수학대왕에는 최근 3개년 기출 문제를 학습할 수 있어요. 수학대왕으로 본인 학교의 내신 기출 문제를 분석하여 실력을 향상시키고 좋은 성적을 거두시기 바래요!



