운양고 2학기 기말고사 내신기출 고1 1-2 2021년 무료 족보 일정-수학대왕
운양고등학교 2학기 기말 족보 내신 운양고 시험 기출 문제 해설 정답 시험기간 대비법 시험일 PDF 예상 출제
운양고등학교 2학기 기말 족보 내신 운양고 시험 기출 문제 해설 정답 시험기간 대비법 시험일 PDF 예상 출제
운양고등학교 1학년 2학기 기말고사 대비법에 대해 알아볼게요. 1)시험에 잘 준비하기 위해서는 기말고사 일정을 미리 확인하고, 철저히 준비해야 해요. 2)시험 준비는 시험 4주 전부터 준비하고 늦어도 2주 전에는 시작해야해요. 3)수학대왕에서 준비한 기출문제를 풀어보면서 실력을 점검하고 출제 경향을 파악해야 해요. 4)마지막으로 시험 당일에는 충분한 수면을 취하고, 평소에 자주 착용하는 편안한 복장으로 시험장에 가야 평소 컨디션으로 시험을 볼 수 있을 거예요.
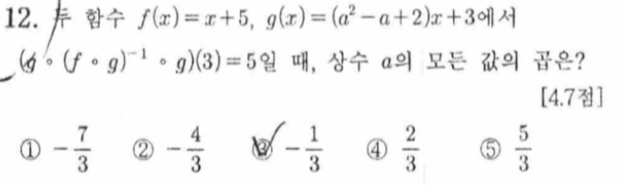
자 그럼 이제 운양고 2학기 기말고사 시험 문제를 공부해봐요. 30문제가 넘어가는 경우 수학대왕 앱에서 무료로 마저 확인할 수 있어요.
운양고 기말고사 내신 시험 대비는 직전에 치뤄진 중간고사 시험 문제부터 정확히 분석하고 완벽하게 이해하고 넘어가는 게 시작이에요. 대부분의 경우 중간고사를 출제하신 선생님이 기말고사도 출제하기 때문이죠. 또한 수능과 내신에 대해서 고민하는 학생들이 많을 것 같은데 수학에 있어서 내신과 수능은 다른 과목과 달리 다르지 않아요. 운양고 1학년 때부터 내신부터 제대로 준비하고 공부한다면 수능에서도 좋은 성적을 받을 수 있어요.
운양고 기말고사 내신 시험 대비는 직전에 치뤄진 중간고사 시험 문제부터 정확히 분석하고 완벽하게 이해하고 넘어가는 게 시작이에요. 대부분의 경우 중간고사를 출제하신 선생님이 기말고사도 출제하기 때문이죠. 또한 수능과 내신에 대해서 고민하는 학생들이 많을 것 같은데 수학에 있어서 내신과 수능은 다른 과목과 달리 다르지 않아요. 운양고 1학년 때부터 내신부터 제대로 준비하고 공부한다면 수능에서도 좋은 성적을 받을 수 있어요.
운양고등학교 과목별 내신 대비 방법에 대해 알려드릴게요. 1)국어 : 국어 과목의 경우 교과서와 학습 자료에서 배운 지문이 등장하기 때문에 자주 읽어서 일부 암기하는 방법의 학습법이 적절해요. 2)수학 : 수학 과목의 경우 암기보다는 수업 시간에 선생님이 강조하신 개념, 공식, 문제를 집중적으로 학습해야 해요. 또한 수학은 다른 과목과 다르게 시험기간에 벼락치기로 실력을 올릴 수 없는 과목이기 때문에 평소에 꾸준히 학습하는 게 중요해요. 3)영어 : 영어 과목 또한 국어 과목과 비슷하게 학교에서 배운 지문이 많이 활용되기 때문에 지문을 자주 읽고, 암기하는 게 중요해요. 4)탐구 : 탐구 과목은 세부 과목에 따라 다르지만, 개념과 암기가 다른 과목에 비해서 많이 중요한 편이에요. 수업시간에 중요하다고 알려주신 부분은 꼭 암기하도록 해요. 요약 : 수학을 제외한 과목은 교과서, 학습자료에서 많이 나오기 때문에 암기가 중요, 수학은 평소에 꾸준한 학습이 중요. 그럼 2학기 기말고사에서 수학대왕과 함께 시험을 잘 준비해서 운양고 시험에서 좋은 성적을 받길 바랄게요!
수학대왕에서는 운양고의 글 위에 학습하신 기출 문제 뿐 아니라 최근 3개년 기출 문제를 무료로 학습할 수 있어요. 수학대왕의 기능을 알려드릴게요.
수학대왕에서는 운양고 기출 문제 뿐만 아니라 운양고등학교 근처에 위치한 학교의 기출 문제, 족보도 함께 공부할 수 있어요. 주변에 있는 학교는 비슷한 난이도와 출제 경향을 보이기 때문에, 본인 학교의 기출 문제를 먼저 학습한 뒤 추가로 자료가 필요할 때 활용하면 좋아요.
.webp)
또한 수학대왕에서는운양고등학교 기출 문제와 더불어서 전국에 있는 모든 학교의 기출 문제를 무료로 학습할 수 있어요.
.webp)
수학 공부의 길에 대한 최민규 선생님의 조언 영상을 보고
꼭 원하시는 목표 이루길 바랄게요!
수학대왕의 개념강의로 개념을 쏙쏙 예제까지 함께 공부해봐요

문제 풀이 접근법을 몰라서 틀리던 날은 이제 안녕, 풀이강의와 함께라면 두렵지 않아요

전국 학교 족보열람부터 인공지능이 분석하고 추천해주는 오늘의 문제까지 한번에, 수학대왕하세요!
.webp)
내신기출 문제의 중요성이 날로 커지고 있어요. 중요성에 대한 인터뷰예요.
손목시계를 시험 시간에 맞추어서 50분 안에 문제를 풀고, 오엠알(OMR) 체킹하는 것까지 연습했습니다. 몇 시까지 몇 번 문제를 풀 것인지, 막히는 문제는 몇분간 고민하고 넘어갈지 등을 미리 정해보고 문제를 풀며 시간을 체크했습니다. 제가 문제를 풀다가 막히는 이유 중 하나가, 문제에 주어진 단서를 놓치는 데에 있음을 알았습니다. 또 순서없이 시험지에 풀이과정을 마구 적다보니 스스로의 풀이과정을 알아볼 수 없었습니다. 그래서 문제에 주어진 단서를 1,2,3.. 번호를 붙여 먼저 정리해보고, 각 단서에 대해 어떻게 반응할지를 정해보았습니다. 예를 들어 3차 함수식이 나오면 ‘나는 이 함수의 도함수까지 구해서 그려보자’ 또는 절댓값 기호가 있는 함수식이 나오면 ‘ 나는 범위에 따라 함수를 정리해보자’ 등 저만의 반응을 정했습니다. 이렇게 정리하다보면 자연스레 풀이 공간도 깔끔하게 사용할 수 있었습니다. 수학 문제를 풀다가 막혔을 때 막힌 지점을 정확히 짚는 연습도 했습니다. 막혔을 때 가만히 멍때리는 시간을 줄이기 위한 방안이었습니다.-서울대 경제학부 이은재 학생(동패고졸)
내신 성적을 3년동안 1.0 유지하는 것이 쉬운 일은 아니었습니다. 저만의 노하우를 공유하자면 저는 빈칸 노트를 만들어 개념 공부를 꼼꼼하게 했습니다. 최대한 많은 양의 문제를 풀고 내가 볼 문제를 줄여 나가는 방식으로 공부해 실수를 최대한으로 줄이는 것을 목표로 두고 시험을 준비했습니다. (중략) 수학은 덕이고뿐만 아니라 고양시 모든 학교까지 섭렵해 문제를 풀었습니다. 1학년 입학을 하면서 서울대 지균을 목표로 내신 관리를 했습니다.
부교재는 필수로 풀어줍니다. 저는 주로 내신 기간에 ‘쎈’교재는 꼭 풀었고 2주 전부터 학교 기출을 풀면서 시간 감각을 익혔습니다. 특히 2학년부터는 수능 간접출제 범위이므로 수능기출 문제도 곁들여서 준비해야 고득점을 할 수 있습니다. -서울대 화학부 여현구 학생(정발고 졸)
3학년 1학기에 가장 좋은 내신을 받을 수 있도록 최대한 노력하시고 의미있는 교내활동 한 가지 정도는 꼭 하셨으면 좋겠습니다. 공부는 정말 자기와의 싸움입니다. 저도 공부하기 싫을 때가 많았습니다. 하지만 며칠 놀고 나면 불안감 때문에 더 힘든 시간을 갖게되더라구요. 그래서 아무리 힘들어도 공부를 않더라도 일단 책상에 앉아 시간을 보내려고 했습니다. 2학년과 3학년 모두 너무 힘든 시간이었습니다. 열심히 하지 않은 것에 대한 후회는 있어도 열심히 한 것에 대한 후회는 없습니다. 내일 당장 시험장에 들어가도 좋다는 마음으로 최선을 다하시길 바랍니다.
내신 기출 문제 분석은 고등학교 수학시험 대비에 필수적인 과정입니다. 내신 기출 문제를 분석하여 실력을 향상시키고 좋은 성적을 거두시기 바래요.



